12 Тормозные свойства автомобиля
11.1. Измерители тормозных свойств
11.2. Уравнение движения при торможении
11.3. Экстренное торможение
11.4. Время торможения
11.5. Тормозной путь
11.6. Коэффициент эффективности торможения
11.7. Остановочный путь и диаграмма торможения
11.8. Служебное торможение
11.9. Распределение тормозных сил по колесам автомобиля
11.10. Торможение автопоезда
11.10. Влияние различных факторов на тормозные свойства
Тормозные свойства имеют важное значение при эксплуатации автомобилей, так как от них во многом зависит безопасность движения. Чем лучше тормозные свойства, тем выше безопасность движения, средняя скорость и производительность автомобиля.
11.1. Измерители тормозных свойств
Измерителями тормозных свойств автомобиля являются замедление при торможении jз м/с 2 , время торможения tтор, с, и тормозной путь Smp, м. Наиболее важное значение из указанных измерителей имеют замедление и тормозной путь.
Нагрузка на автомобиль оказывает существенное влияние на его тормозные свойства. Поэтому в процессе эксплуатации для проверки эффективности тормозных механизмов в качестве измерителей используют максимально допустимый тормозной путь и минимально допустимое замедление автомобиля без нагрузки и с полной нагрузкой.
Нормативные значения измерителей тормозных свойств автомобиля без нагрузки при торможении на сухой асфальтовой горизонтальной дороге регламентированы правилами дорожного движения.
11.2. Уравнение движения при торможении
Уравнение движения автомобиля выведем для случая торможения на горизонтальной дороге (рис. 11.1). Спроецируем все силы, действующие на автомобиль, на плоскость дороги и получим следующее уравнение движения при торможении:

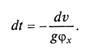
Замедление при торможении определим из этого уравнения, представив его в следующем виде:

Рис. 11.1. Силы, действующие на автомобиль при торможении откуда

Значение замедления зависит от режима торможения автомобиля. При эксплуатации применяется экстренное (аварийное) и служебное торможение.
11.3. Экстренное торможение
Экстренным называется режим торможения, при котором тормозные силы на колесах автомобиля достигают максимально возможного значения по сцеплению.
При этом колесо находится на грани юза (полного скольжения), но еще катится с некоторым проскальзыванием. Как показали исследования, максимальное значение тормозной силы на колесе достигается при его 15. 30%-ном проскальзывании.
Экстренное торможение применяется сравнительно редко и обычно составляет 3. 5% общего числа торможений. При экстренном торможении замедление достигает наибольшего значения и на сухом асфальтобетоне составляет 7,5. 8 м/с 2 . Экстренное торможение очень неприятно для сидящих пассажиров и опасно для стоящих. Оно вызывает повышенный износ шин и тормозных механизмов. При экстренном торможении для увеличения замедления необходимо уменьшить влияние вращающихся масс, поэтому двигатель отключается от трансмиссии при помощи сцепления. Процесс торможения осуществляется только тормозной системой.
При экстренном торможении скорость автомобиля резко падает, поэтому влияние силы сопротивления воздуха незначительно. Уравнение движения автомобиля при экстренном торможении принимает следующий вид:

Так как при экстренном торможении касательные реакции дороги на передних и задних колесах имеют максимально возможные значения по сцеплению, то

С учетом этого выражения для горизонтальной дороги и современных автомобильных дорог, имеющих небольшие уклоны, при экстренном торможении замедление

где φx — коэффициент сцепления колес с дорогой.
Если во время торможения значение коэффициента сцепления колес с дорогой не изменяется, то замедление не зависит от скорости в течение всего периода торможения (рис. 11.2).

Рис. 11.2. Зависимости замедления jз времени торможения tтор,
тормозного Smop остановочного S0 путей автомобиля от скорости движения v
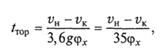
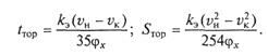
11.4. Время торможения
(Для определения времени торможения представим замедление следующем виде:

Проинтегрировав последнее выражение, определим время торможения:

где vH и vK — значения скорости автомобиля соответственно в начале и конце торможения, выраженные в м/с, или

где vН и vK выражены в км/ч.
При торможении автомобиля до полной остановки, когда vK = 0, время торможения

Из этого выражения следует, что время торможения автомобиля связано линейной зависимостью со скоростью (см. рис. 11.2).
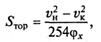
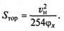
11.5. Тормозной путь
Тормозным называется путь, проходимый автомобилем за время полного торможения, в течение которого замедление имеет максимальное значение.
Используя соотношения
, выражение для
dS представим в виде 
Проинтегрировав это выражение, найдем тормозной путь:

где vН и vK измеряются в м/с, или

где vH и vK измеряются в км/ч.
При торможении до полной остановки

Из этого выражения видно, что тормозной путь автомобиля характеризуется квадратичной зависимостью от скорости. При возрастании начальной скорости тормозной путь быстро увеличивается (см. рис. 11.2).
11.6. Коэффициент эффективности торможения
В приведенных ранее формулах для определения времени торможения и тормозного пути автомобиля не учтен ряд конструктивных и эксплуатационных факторов, существенно влияющих на эффективность торможения. Поэтому в действительности значения времени и пути торможения могут быть на 20. 60 % больше рассчитанных по этим формулам.
Для согласования результатов теоретических расчетов с эксплуатационными данными служит коэффициент эффективности торможения кэ. Он учитывает непропорциональность тормозных сил на колесах нагрузкам, приходящимся на колеса, а также износ, регулировку, замасливание и загрязненность тормозных механизмов. Данный коэффициент показывает, во сколько раз действительное замедление автомобиля меньше теоретического, максимально возможного на данной дороге. Значение коэффициента эффективности торможения составляет 1,2 для легковых автомобилей и 1,4. 1,6 — для грузовых автомобилей и автобусов.
С учетом коэффициента эффективности торможения формулы для определения времени торможения и тормозного пути автомобиля преобразуются к следующему виду:

Для случая торможения до полной остановки

где vН и vK выражены в км/ч.
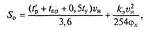
11.7. Остановочный путь и диаграмма торможения
Остановочным называется путь, проходимый автомобилем от момента, когда водитель заметил препятствие, до полной остановки автомобиля.
Остановочный путь больше, чем тормозной, так как он кроме тормозного пути дополнительно включает в себя путь, проходимый автомобилем за время реакции водителя, время срабатывания тормозного привода и увеличения замедления. Остановочный путь

где Sa — дополнительный путь, м, или

где t‘p = 0,2. 1,5 с — время реакции водителя, зависящее от его возраста, квалификации, утомляемости и т.д.; tnp — время срабатывания тормозного привода от момента нажатия на тормозную Педаль до начала действия тормозных механизмов, зависящее от конструкции тормозного привода и его технического состояния (составляет 0,2 с для гидравлического, 0,6 с — для пневматического, 1,0 с — для автопоезда с пневмоприводом); ty = 0,2. 0,5 с — время увеличения замедления от нуля до максимального значения; vH — скорость автомобиля в начале торможения, км/ч.
Выражение для остановочного пути получено при наличии допущения, что в течение времени увеличения замедления автомобиль движется равнозамедленно и замедление в этом случае составляет 0,5 jmax — Из формулы для остановочного пути следует, что он, как и тормозной путь, характеризуется квадратичной зависимостью от скорости. При увеличении начальной скорости он существенно возрастает (см. рис. 11.2).
Остановочный путь автомобиль проходит за остановочное время

Диаграмма торможения (рис. 11.3) представляет собой график изменения замедления и скорости автомобиля во времени при торможении. Она характеризует интенсивность торможения автомобиля с учетом всех составляющих остановочного времени.

Рис. 11.3. Диаграмма торможения автомобиля
11.8. Служебное торможение
Служебным называется такой режим торможения, при котором тормозные силы на колесах автомобиля не достигают максимально возможного значения по сцеплению.
Служебное торможение является наиболее распространенным режимом торможения. При эксплуатации автомобилей оно составляет 85. 87 % общего числа торможений. Максимальное значение замедления при служебном торможении не превышает 4 м/с 2 . Торможение с таким замедлением вызывает неприятные ощущения и дискомфорт у пассажиров и применяется в исключительных случаях. Обычно в условиях эксплуатации используется плавное служебное торможение, при котором замедление составляет 1,5. 2,5 м/с 2 .
При эксплуатации автомобилей применяются различные способы служебного торможения. Оно может осуществляться двигателем, с отсоединенным двигателем, с неотсоединенным двигателем (комбинированное торможение), тормозом-замедлителем (вспомогательным тормозом) и с периодическим прекращением действия тормозной системы.
Торможение двигателем. При торможении этим способом не используются тормозные механизмы колес автомобиля. В этом случае тормозом служит двигатель, который не отсоединяется от трансмиссии, но работает на режиме холостого хода (с уменьшенной подачей горючей смеси) или на компрессорном режиме (без подачи в цилиндры горючей смеси). Ведущие колеса принудительно вращают коленчатый вал двигателя. В результате в двигателе за счет трения возникает сила сопротивления, которая замедляет движение автомобиля.
Торможение двигателем применяют в горных условиях, при движении на длинных затяжных спусках и в тех случаях, когда требуется небольшое замедление. Оно обеспечивает плавное торможение, сохранность колесных тормозных механизмов и устойчивость автомобиля против заноса (благодаря равномерному распределению тормозных сил по колесам). Однако торможение двигателем на режиме холостого хода очень вредно для окружающей среды, загрязняемой отработавшими газами, с которыми на этом режиме выбрасывается большое количество оксидов углерода.
Торможение с отсоединенным двигателем. Торможение осуществляется только тормозными механизмами колес автомобиля без использования двигателя. Двигатель отсоединяют от трансмиссии путем выключения сцепления или установкой нейтральной передачи в коробке передач. Торможение с отсоединенным двигателем — основной способ служебного торможения. Оно чаще всего используется при эксплуатации автомобилей, так как обеспечивает необходимое замедление. Однако торможение с отсоединенным двигателем уменьшает устойчивость автомобиля на дорогах с малым коэффициентом сцепления (скользких, обледенелых и др.).
Торможение с неотсоединенным двигателем. Это комбинированный способ торможения, который осуществляется тормозными механизмами колес совместно с двигателем автомобиля. Перед приведением в действие тормозных механизмов уменьшают подачу горючей смеси в цилиндры двигателя. Угловая скорость коленчатого вала двигателя снижается, чему препятствуют ведущие колеса, принудительно вращающие коленчатый вал через трансмиссию. В результате происходит торможение двигателем, после чего приводятся в действие тормозные механизмы колес. Торможение с неотсоединенным двигателем увеличивает срок службы тормозных механизмов, которые при длительных торможениях с отсоединенным двигателем сильно нагреваются и выходят из строя. Кроме того, оно повышает устойчивость автомобиля против заноса вследствие более равномерного распределения тормозных сил по колесам автомобиля.
Торможение с периодическим прекращением действия тормозной системы. Этот способ торможения обеспечивает наибольший эффект.
При таком способе торможения колеса автомобиля необходимо удерживать на грани юза, не допуская их скольжения. Колесо, катящееся и не скользящее, обеспечивает большую тормозную силу, а при движении колеса юзом его сцепление с дорогой резко уменьшается.
При скольжении колеса в месте контакта шины с дорогой резина протектора нагревается и размягчается. При многократном последовательном нажатии на тормозную педаль и затем частичном отпускании ее с дорогой соприкасаются новые (не нагретые) части протектора шины, вследствие чего сохраняется максимальное сцепление колеса с дорогой. В начале скольжения колес автомобиля усилие, приложенное к тормозной педали, уменьшают. В этом случае колеса перекатываются, и в соприкосновение с дорогой входят новые части протектора шин, которые не участвовали в торможении и в меньшей степени нагреты и размягчены.
Торможение с периодическим прекращением действия тормозной системы рекомендуется выполнять только водителям высокой квалификации, так как для удержания колес автомобиля на грани юза без их скольжения необходимы большой опыт и внимание.
Торможение тормозом-замедлителем. Торможение осуществляют с помощью вспомогательного тормозного механизма, обычно действующего на вал трансмиссии автомобиля (рис. 11.4, б). Этот способ обеспечивает плавное торможение с замедлением 1. 2 м/с 2 в течение длительного времени.
Торможение тормозом-замедлителем целесообразно в горных условиях, где при частых торможениях колесные тормозные механизмы быстро нагреваются и выходят из строя. Так, например, торможение автомобиля в горных условиях производится в 8—10 раз чаще, чем в обычных условиях на загородном шоссе.
При торможении тормозом-замедлителем повышается безопасность движения и уменьшается износ тормозных механизмов, шин и двигателя. Тормозами-замедлителями обычно оборудуют грузовые автомобили и автобусы, предназначенные для особых условий эксплуатации (горных и т.п.).

Рис. 11.4. Схемы моторного (а) и электродинамического (б) тормозов-замедлителей:
1 — заслонка; 2 — ротор; 3 — электромагнит
11.9. Распределение тормозных сил по колесам автомобиля
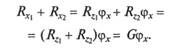
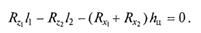
При торможении на горизонтальной дороге (см. рис. 11.1) действие силы инерции Ри, приложенной в центре тяжести, которое характеризуется плечом, равным hц, приводит к перераспределению нагрузки на колеса. При этом нагрузка на передние колеса увеличивается, а на задние уменьшается. Следовательно, нормальные реакции RZ1 и RZ2, воспринимаемые колесами при торможении, значительно отличаются от нагрузок G1 и G2, приходящихся на колеса в статическом состоянии.
Изменение нагрузок на колеса при торможении оценивается коэффициентами изменения реакций, которые для передних и задних колес соответственно равны

Для определения значений тР1 и тР2 найдем сначала нормальные реакции RZ1 и RZ2 при торможении. С этой целью составим уравнение моментов относительно центра тяжести, пренебрегая силой сопротивления воздуха, так как при торможении скорость быстро падает и влияние силы незначительно:

При экстренном торможении на горизонтальной дороге

Тогда уравнение моментов примет вид

Спроецируем все силы на вертикальную плоскость и получим

Решим совместно два последних уравнения и найдем нормальные реакции дороги, действующие на передние и задние колеса при торможении:

Используя полученные выражения для RZi и RZ2 и учитывая, что
находим коэффициенты изменения реакций при торможении для передних и задних колес соответственно:

Как показали исследования, при торможении предельные значения коэффициентов изменения реакций составляют 1,5. 2,0 для передних колес и 0,5. 0,7 — для задних.
Наибольшая интенсивность торможения автомобиля достигается при полном использовании сцепления всеми его колесами, что возможно только на дороге с оптимальным коэффициентом сцепления φопт = 0,40. 0,45.
На дорогах с другими значениями коэффициента сцепления полное использование сцепления невозможно без блокировки колес одного из мостов. Так, при торможении на дорогах с коэффициентом сцепления, большим оптимального (φх > φопт), первыми будут блокироваться (доводиться до юза) задние колеса, что может вызвать занос и нарушение устойчивости автомобиля. При торможении на дорогах с коэффициентом сцепления, меньшим оптимального (φ, 0 и прицеп тормозится с опережением, растягивает автопоезд и исключает его складывание, однако ухудшается эффективность торможения автопоезда. При этом прицеп может сползать вбок и тянуть за собой автопоезд.
Если удельная тормозная сила автомобиля-тягача больше, чем у прицепа, то сила Рс
Тормозной путь. От чего он зависит, как определяется
Тормозной путь автомобиля: Все что нужно знать

Представьте, на сколько меньше было бы аварий, если бы автомобили могли останавливаться мгновенно. К сожалению, элементарные законы физики говорят, что это невозможно.
У производителей авто принято «хвастаться» другим показателем: скоростью разгона до 100 км/час. Разумеется, это тоже важно. Но было бы неплохо знать, на сколько метров растянется тормозной путь. Ведь у разных автомобилей он отличается.

В этой статье мы расскажем о том, что нужно знать о тормозном пути каждому водителю, чтобы обезопасить себя на дороге. Пристегивайтесь, и поехали!
Что такое тормозной путь автомобиля?
Тормозным путем считается расстояние, которое проедет машина после активации тормозной системы до полной остановки. Это лишь технический параметр, по которому в сочетании с другими факторами определяется безопасность автомобиля. В этот параметр не входит скорость реакции водителя.
Совокупность реакции автомобилиста на экстренную ситуацию и расстояния от начала торможения (водитель нажал на педаль) до полной остановки транспортного средства называется остановочный путь.

В правилах дорожного движения указываются критические параметры, при которых эксплуатация транспортного средства запрещается. Максимальные пределы составляют:
| Тип транспорта: | Тормозной путь, м. |
| Мотоцикл/мопед | 7,5 |
| Легковой автомобиль | 14,7 |
| Автобус/грузовик массой до 12 тонн | 18,3 |
| Грузовой автомобиль массой выше 12 тонн | 19,5 |
Так как величина тормозного пути напрямую зависит от скорости ТС, критическим показателем считается упомянутое выше расстояние, пройденное транспортом при снижении скорости с 30 км/ч. (для мототранспорта) и 40 км/ч. (для легкового авто и автобуса) до нуля.

Слишком медленная реакция тормозной системы всегда приводит к повреждению транспорта и нередко к травмам тех, кто в нем находится. Для наглядности: машина, движущаяся со скоростью 35 км/ч., столкнется с препятствием с силой, идентичной удару при падении с пятиметровой высоты. Если скорость авто при столкновении с препятствием достигла 55 км/ч, то сила удара будет идентична при падении с третьего этажа (90 км/ч – падение с 9 этажа, или с высоты в 30 метров).
Данные результаты исследований показывают, насколько важно автомобилисту следить за состоянием тормозной системы автомобиля, а также за износом покрышек.

Факторы, влияющие на тормозной путь
Существует две группы причин, влияющих на величину тормозного пути транспортного средства. Первая включает в себя причины, возникновение которых не зависит от лица, управляющего автомобилем. Это состояние дорожного покрытия и погодные условия. Не имея возможности в какой-либо степени воздействовать на них, водитель обязан их учитывать, когда выбирает скорость движения и дистанцию.
Вторая группа причин зависит от водителя машины. К ним стоит отнестись внимательнее.
Скорость
Влияние скоростного режима на остановочный и тормозной путь так велико, что правилами дорожного движения установлены жесткие ограничения, касающиеся передвижения транспортных средств в населенных пунктах, жилых зонах и т.п. Экспериментальным путем определены средние значения тормозного пути машины на определенной скорости. Данные значения в таблице верны для наиболее благоприятных условий движения: технически исправное транспортное средство, оптимальные погодные условия, хорошее дорожное покрытие.
Скорость транспортного средства, км/ч
Тормозной путь автомобиля, движущегося с указанной скоростью, в случае экстренного торможения, м
Как видно из таблицы происходит существенное увеличение тормозного пути транспортного средства в зависимости от скорости его движения.
Выбирая скорость движения, учитывайте еще один важный аспект. Это – скорость реакции водителя. И если время, затраченное на принятие решения у подавляющего большинства водителей примерно равно, то тормозной путь будет тем больше, чем выше скорость.
Погодные и дорожные условия
Изменение погодных условий способно существенно увеличить время торможения.
Пример №2: Автомобиль, движущийся по трассе с сухим дорожным покрытием со скоростью 80 км/ч, входит в полосу сильного дождя. На мокрой дороге снижается показатель коэффициента сцепления с 0,7 до 0,4. Применяя известную формулу, получаем: S = (1/ (254 • 0,4)) • 80 2 . Длина тормозного пути составила 62,99 метра, то есть увеличилась в полтора раза.
Техническое состояние автомобиля
К участию в дорожном движении допускаются технически исправные автомобили, что оговорено пунктом 11 ПДД. Разработан перечень неисправностей, которые препятствует участию транспортного средства в дорожном движении. И тормозная система занимает в этом перечне одно из ключевых мест. Узлы и агрегаты данной системы принимают самое непосредственное участие в остановке автомобиля. Изношенные тормозные накладки и колодки, деформированные и выработанные тормозные барабаны (диски), отработанная тормозная жидкость в силу потери части своих физических и эксплуатационных характеристик существенно увеличивают длину остановочного пути.
Что такое формула тормозного пути?

Существуют специальные формулы, которые помогают водителю просчитать длину тормозного пути при экстренном и нормальном торможении. Разумеется, они усредненные.
Итак, нормальное торможение предусматривает мягкое нажатие на педаль тормоза, к примеру на светофоре. В таком случае ориентируемся по формуле:
(Скорость, в км/ч : 10) * (скорость, в км/ч : 10) = длина тормозного пути в метрах
То есть, если вы двигаетесь со скоростью 50 км/ч, длина тормозного пути будет примерно 25 метров. Считаем так: 50/10 * 50/10 = 5*5 = 25.
При экстренном торможении, полученное значение делится еще на два. Формула выглядит следующим образом.
(Скорость, в км/ч : 10) * (скорость, в км/ч : 10) / 2
Посчитаем на конкретном примере. Допустим, вы вновь двигаетесь со скоростью 50 км/ч и произошла ситуация, при которой вам нужно срочно затормозить. Считаем тормозной путь так: 50/10 * 50/10 / 2 = 5*5/2 = 12,5 метров.
Вы можете сказать, что в экстренной ситуации нет времени считать и нужно действовать. Да, вы абсолютно правы. Но есть одно «но». Каждый водитель двигается по городу примерно с одинаковой скоростью. Поэтому, вы можете заранее выучить нужное значение и отталкиваться от него когда нужно. Такой нехитрый лайфхак может однажды спасти чью-то жизнь. Поэтому берите его на заметку.

Под этим понятием определяют свойства автомобиля снижать скорость движения по желанию водителя, при необходимости быстро останавливаться, а также удерживать на уклоне во время стоянки.
Торможение автомобиля имеет большое значение для безопасности движения и зависит от его тормозных качеств. Эту роль выполняет тормозная система, предназначенная для постоянного пользования во время движения автомобиля.
Стояночная тормозная система предназначена для удержания автомобиля от самопроизвольного движения во время стоянки.
Тормоза современного автомобиля могут развивать тормозные силы, значительно превышающие силы сцепления шин с дорогой. В некоторых случаях для удержания автомобиля на стоянке водители включают вместо стояночного тормоза одну из низших передач. Но на автомобилях с дизельным двигателем применять такой способ в любых ситуациях категорически запрещено.
Управляя автомобилем, водитель должен учитывать возможные изменения весовой нагрузки на ось. При движении с уклона центр тяжести переносится вперед, и при торможении создается опрокидывающий момент, дополнительно нагружающий переднюю ось. Особую опасность при торможении представляют перевозимые жидкие грузы, не полностью заполняющие емкости – цистерны, так как при торможении жидкость перемещается вперед, увеличивая нагрузку на переднюю ось.
Эффективность торможения оценивается по тормозному пути и величине замедления.
Тормозной путь – это расстояние, которое проходит автомобиль от начала торможения до полной остановки. Для легковых автомобилей правилами дорожного движения (31 раздел ПДД) установлены предельная величина тормозного пути при начальной скорости 40 км/час – тормоз ножной:- тормозной путь – 14,7 метра.
Тип транспортного средства Тормозной путь, м, не более легковые автомобили и их модификациидля перевозки грузов………………………….12,2 (14,5) автобусы с разрешенной максимальноймассой до 5 т включительно…………………….13,6 (18,7) то же, свыше 5 т…………………………….16,8 (19,9) грузовые автомобили с разрешенноймаксимальной массой до 3,5 твключительно…………………………………15,1 (19,0) то же, от 3,5 до 12 т включительно…………….17,3 (18,4) то же, свыше 12 т……………………………16,0 (17,7)
Остановочный путь – расстояние, которое проходит автомобиль от момента обнаружения водителем опасности до остановки автомобиля. (тормозной путь и некоторое расстояние, которое проходит автомобиль за время реакции водителя).
Время реакции водителя – от 0,2 до 1,5 сек и более.
Средняя величина (расчетная) – 0,8 сек.
Время срабатывания тормозного привода – 0,2 – 0,4 сек для гидравлики и 0,6 – 0,8 сек для пневматического тормоза.
Безопасное движение возможно только при учете водителем всех факторов, от которых зависит торможение автомобиля.
Торможение — процесс создания и изменения искусственного сопротивления движению автомобиля с целью уменьшения его скорости или удержания неподвижным относительно дороги.
Тормозные свойства характеризуют способность автомобиля уменьшать скорость и готовность его к экстренной остановке.
Современные автомобили оборудуют рабочей, запасной, стояночной и вспомогательной тормозными системами. Рабочая тормозная система является основной, с ее помощью снижают скорость автомобиля, вплоть до его остановки. Надежная им эффективная рабочая тормозная система позволяет водителю уверенно вести автомобиль с большой скоростью и остановить его на коротком участке пути.
Тормозные свойства автомобиля оцениваются показателями:
· установившееся замедление автомобиля;
Установившееся замедление – среднее значение замедления за время установившегося торможения автотранспортного средства.
Тормозной путь автомобиля — расстояние пройденное автотранспортным средством от начала до конца торможения.
Замедление и тормозной путь определяют аналитически, а проверяют методами ходовых (дорожных испытаний) или стационарными испытаниями на специальных стендах.
Таблица 2.1.8. Нормативы эффективности рабочей тормозной системы для новых АТС (полная масса).
| Категория АТС по классификации Комитета по внутреннему транспорту (КВТ) ЕЭК ООН, принятой в ГОСТ 22895 – 77 | Режим торможения | Нормативы тормозной эффективности. | |
| Начальная скорость торможения, км/ч | Усилие на педали тормоза, кгс, не более | Тормозной путь, м, не более | Установившееся замедление, м/с2, не менее |
| М1 | 43,2 | 7,0 | |
| М2, М3 | 32,1 | 6,0 | |
| N1 | 61,2 | 5,0 | |
| N2, N3 | 36,7 | 5,0 | |
| Автопоезд с тягачом категории М1 | 50,7 | 5,8 | |
| То же, с тягачами категорий М2, М3 | 33,9 | 6,0 | |
| То же, с тягачом категории N1 | 63,6 | 5,0 | |
| То же, с тягачами категорий N2, N3 | 38,5 | 5,0 |
Таблица 2.1.9. Нормативы тормозной эффективности рабочей тормозной системы для АТС, находящихся в эксплуатации.
| Категория АТС по классификации Комитета по внутреннему транспорту (КВТ) ЕЭК ООН, принятой в ГОСТ 25478 – 82 | Режим торможения | Нормативы тормозной эффективности. | ||
| Начальная скорость торможения, км/ч | Усилиена педали тормоза, кгс, не более | Тормозной путь, м, не более, при массе | Установившееся замедление, м/с2, не менее, при массе | |
| полной | снаряженной | полной | снаряженной | |
| М1 | 16,2 | 14,5 | 5,2 | 6,1 |
| М2 | 21,2 | 18,7 | 4,5 | 5,5 |
| М3 | 21,2 | 19,9 | 4,5 | 5,0 |
| N1 | 23,0 | 19,0 | 4,0 | 5,4 |
| N2 | 23,0 | 18,4 | 4,0 | 5,7 |
| N3 | 23,0 | 17,7 | 4,0 | 6,1 |
| Автопоезд с тягачом категории N1 | 25,0 | 22,7 | 4,0 | 4,7 |
| То же, с тягачами категорий N2 | 25,0 | 22,1 | 4,0 | 4,9 |
| То же, с тягачами категорий N3 | 25,0 | 21,9 | 4,0 | 5,0 |
Для стояночной тормозной системы критерием эффективности является суммарная тормозная сила, развиваемая тормозными механизмами этой системы. Она должна обеспечивать удержание полностью нагруженного АТС на уклонах, регламентируемых ГОСТ 22895 – 77 для новых АТС и ГОСТ 25478 – 82 для АТС, находящихся в эксплуатации, в соответствии с данными, приведенными в таблице.
Таблица 2.1.10. Нормативы эффективности стояночной тормозной системы.
| Категория АТС по классификации КВТ ЕЭК ООН. | Уклон, % не менее, для АТС |
| новых | эксплуатируемых |
| М1 | |
| М2, М3, N1, N2, N3. | |
| О1, О2, О3, О4 | |
| Автопоезда с тягачами указанных выше категорий |
Как рассчитать полное время остановки и итоговый тормозной путь?
Как мы уже отмечали выше, водителю нужно время для того, чтобы принять решение о торможении. То есть — среагировать. Плюс, время уходит на то, чтобы переместить ногу с педали газа на педаль тормоза и на то, чтобы на это действие отреагировала сама машина.
Существует формула, которая усредненно считает путь реакции водителя. Вот она:
(Скорость в км/ч : 10) * 3 = путь реакции в метрах
Представим ту же ситуацию. Вы едете со скоростью 50 км/ч и решили плавно затормозить. Пока вы принимаете решение, машина проедет 50/10*3 = 15 метров. Второе значение (длину реального тормозного пути) мы считали выше — 25 метров. В результате, 15+25 = 40. Это расстояние, которое преодолеет ваш автомобиль, пока вы полностью не остановитесь.
Как рассчитать расстояние тормозного пути автомобиля.

Как быстро автомобиль ускоряется, наверное, знает большинство автовладельцев. Даже если вы не замеряли динамику разгона своей машины, вы наверняка смотрели заводские технические характеристики вашего авто, где обычно автопроизводитель указывает минимально возможное время разгона с 0-100 км/час. Но теперь вопрос: сколько времени нужно, чтобы остановить вашу машину? Вы знаете это? Уверены, что нет. Но, оказывается, рассчитать расстояние тормозного пути можно достаточно легко с помощью простой формулы. Мы расскажем вам, как это делается.
Нет такой вещи во Вселенной или материи, которая может мгновенно остановиться. Также и любой автомобиль, когда вы нажимаете педаль тормоза, не сразу может остановиться. Дело в том, что для того чтобы автомобиль или любой объект в нашем мире остановился, необходимо, чтобы он потерял энергию, которая его движет. В результате у любого автомобиля есть тормозной путь, который он проезжает с момента нажатия педали тормоза до момента полной остановки. Это и есть тормозное расстояние машины.
Но на самом деле тормозной путь любого авто зависит не только от его характеристик и тормозной системы, но и от реакции водителя при нажатии педали тормоза. Ведь для того чтобы принять решение о необходимости торможения и нажать педаль тормоза, требуется время, которое хоть и минимально, но достаточно, чтобы машина успела проехать немаленький путь. Особенно это важно при большой скорости движения, где за какие-то доли секунды автомобиль проезжает приличное расстояние. Итак, в итоге, чтобы рассчитать реальную длину тормозного пути, нужно учитывать не только время и расстояние, пройденное автомобилем с момента нажатия водителем педали тормоза до момента остановки машины, но и время, необходимое для принятия решения о торможении. Дело в том, что при принятии решения о торможении мы тратим драгоценные секунды. Вот пример:
- Время отклика: Прежде чем водитель нажмет педаль тормоза, он должен оценить дорожную ситуацию и определить, необходимо ли торможение. Также нужно понять, какое необходимо торможение – полная остановка автомобиля или простое снижение скорости. Обычно, согласно многочисленным исследованиям, большинству водителей для этого требуется около 0,1 секунды.
- Время, необходимое для нажатия педали тормоза: После того, как водитель понял, что должен тормозить, необходимо еще примерно 0,8 секунды, для того чтобы переместить ногу с педали газа на педаль тормоза и нажать ее.
Кроме того, даже при нажатии педали тормоза есть еще небольшая потеря времени, связанная с тем, что при нажатии педали тормоза автомобиль, как правило, не начинает резко тормозить. А для того чтобы машина реально начала резко снижать скорость, надо усилить давление на педаль тормоза (пороговое время, необходимое для требуемого тормозного давления в тормозной системе). Также у всех автомобилей разное время отклика на нажатую педаль тормоза. Здесь все, конечно, зависит от конструкции тормозной системы и наличия различной электроники, контролирующей тормоза автомобиля.
Смотрите также: Полный привод оказался лучше при торможении, чем привод на два колеса: Видео
Вы не поверите, но для того чтобы машина реально начала тормозить после нажатия педали тормоза, необходима еще почти 1 секунда времени. Вы представляете, как это много при движении на большой скорости? За эту лишнюю секунду вы можете проехать очень большой путь.
Какие факторы влияют на торможение и тормозной путь?

Выше мы уже писали, что на длину тормозного пути влияют множество факторов. Предлагаем рассмотреть их подробнее.
Скорость
Это ключевой фактор. При этом имеется в виду не только скорость езды машины, но и скорость реакции водителя. Считается, что реакция у всех примерно одинаковая, но это не совсем так. Играет роль опыт вождения, состояние здоровья человека, употребление им медикаментов и т.д. Также, многие «лихачи» пренебрегают законом и отвлекаются на смартфоны за рулем, что, в итоге, может привести к катастрофическим последствиям.
Помните еще один важный момент. Если скорость автомобиля увеличивается в два раза, длина его тормозного пути растет в 4 раза! Здесь пропорция 1:1 не работает.
Дорожные обстоятельства
Несомненно, на длину тормозной линии влияет состояние дорожного покрытия. На обледенелой или мокрой трассе она может вырасти в разы. Но это далеко не все факторы. Следует также опасаться опавших листьев, на которых шины прекрасно скользят, трещин на покрытии, ям и так далее.
Качество и состояние резины сильно влияют на длину тормозной линии. Зачастую, более дорогие шины обеспечивают лучшее сцепление авто с дорожным покрытием. Обратите внимание, если глубина протектора стерлась больше допустимого значения, то резина утрачивает способность отводить достаточное количество воды при движении по мокрой дороге. В итоге, вы можете столкнуться с такой неприятной штукой, как аквапланирование — когда машина теряет сцепление с дорогой и становится полностью неуправляемой.
Чтобы сократить тормозной путь, рекомендуется поддерживать в покрышках оптимальное давление. Какое именно — на этот вопрос вам ответит автопроизводитель. Если значение будет отклоняться в большую или меньшую сторону, линия торможения будет увеличиваться.
В зависимости от коэффициента сцепления покрышек с дорожным покрытием этот показатель будет разным. Вот сравнительная таблица зависимости тормозного пути от качества дорожного покрытия (легковой автомобиль, покрышки которого имеют средний коэффициент сцепления):
| 60км/ч. | 80 км/ч. | 90 км/ч. | |
| Сухой асфальт, м. | 20,2 | 35,9 | 45,5 |
| Мокрый асфальт, м. | 35,4 | 62,9 | 79,7 |
| Заснеженная дорога, м. | 70,8 | 125,9 | 159,4 |
| Гололед, м. | 141,7 | 251,9 | 318,8 |
Конечно, эти показатели относительны, но они ярко иллюстрируют, насколько важно следить за состоянием автомобильной резины.
Техническое состояние машины
Автомобиль может выезжать на дорогу только в исправном состоянии — это аксиома, не требующая доказательств. Для этого проводите плановую диагностику своего авто, своевременно делайте ремонт и меняйте тормозную жидкость.
Помните, что стертые тормозные диски могут в два раза увеличить линию торможения.
Отвлечение внимания на дороге
Во время движения автомобиля водитель не имеет права отвлекаться от управления ТС и контроля над дорожной ситуацией. От этого зависит не только его безопасность, но жизни и здоровье пассажиров, а также других участников движения.
Вот что происходит в мозгу водителя при возникновении экстренной ситуации:
- оценка дорожной ситуации;
- принятие решения – тормозить или маневрировать;
- реагирование на ситуацию.
В зависимости от врожденных способностей водителя средняя скорость реакции составляет от 0,8 до 1,0 секунды. Этот параметр касается экстренной ситуации, а не почти автоматического процесса при замедлении на знакомом участке дороги.

Многим этот временной отрезок кажется незначительным, чтобы на него обращать внимание, однако игнорирование опасности может привести к фатальным последствиям. Вот таблица зависимости реакции водителя и пройденного автомобилем пути:
| Скорость автомобиля, км/ч. | Расстояние до момента нажатия на тормоз (время остается одинаковым – 1 сек.), м. |
| 60 | 17 |
| 80 | 22 |
| 100 | 28 |
Как видно, даже кажущаяся незначительной секунда промедления может привести к печальным последствиям. Вот почему каждому автомобилисту никогда нельзя нарушать правило: «Не отвлекайся и придерживайся скоростного режима!».

Отвлекать водителя от управления могут разные факторы:
- мобильный телефон – даже просто посмотреть, кто звонит (при разговоре по телефону реакция водителя идентична реакции человека в состоянии легкого алкогольного опьянения);
- рассматривание рядом проезжающего автомобиля или наслаждение красивыми пейзажами;
- пристегивание ремня безопасности;
- употребление пищи за рулем;
- падение незакрепленного видеорегистратора или мобильного телефона;
- выяснение отношений водителя и пассажира.
На самом деле невозможно составить полный список всех факторов, которые могут отвлечь водителя от управления. Ввиду этого каждому следует быть внимательным к дороге, а пассажирам будет полезна привычка не отвлекать водителя от управления.
Расчет тормозного пути автомобилей для обеспечения безопасного движения на дорогах
Расчет тормозного пути автомобилей для обеспечения безопасного движения на дорогах
Бобовников А.С, учащийся МАОУ «СОШ №24 с УИОП» г.Старый Оскол
Руководитель: Скрыпникова Н.А., учитель физики МАОУ «СОШ №24 с УИОП» г.Старый Оскол
Автомобиль прочно укрепился в образе современного жителя. С каждым годом машина приобретает всё большую значимость в жизни человека. Однако автомобилизация несёт людям не только пользу, с популярностью автотранспорта связаны и острые проблемы, переживаемые человечеством в последние годы, в частности рост дорожно-транспортных происшествий.
Чаще всего причиной ДТП является физическое явление инерция — свойство тел сохранять покой или равномерное прямолинейное движение, если внешние воздействия на него отсутствуют или взаимно скомпенсированы.
Торможение — процесс создания и изменения искусственного сопротивления движению автомобиля с целью уменьшения его скорости или удержания неподвижным относительно дороги.
Сила трения тормозов заставляет автомобиль снижать скорость. Чем сильнее нажимать на тормоз, тем большая площадь тормозных колодок соприкасается с колесами и тем быстрее остановится автомобиль. Но, однако, автомобиль остановить мгновенно нельзя, потому что у всех средств транспорта есть тормозной путь.
Тормозные свойства относятся к важнейшим из эксплуатационных свойств, определяющих активную безопасность автомобиля, под которой понимается совокупность специальных конструктивных мероприятий, обеспечивающих снижение вероятности возникновения ДТП.
Актуальность работы очевидна, потому что рост травматизма на дорогах является серьезной проблемой.
Объект исследования – тормозные системы автотранспортных средств.
Цель исследования: сравнить значения тормозного пути легкового и грузовых автомобилей.
Правила дорожного движения запрещают резкое торможение, кроме случаев, когда это необходимо для предотвращения дорожно-транспортного происшествия. Торможение бывает служебное и экстренное. При служебном торможении водитель заранее знает примерное место остановки, заранее подготавливаясь к нему. При появлении на дороге внезапно возникающего препятствия необходимо применять экстренное торможение.
Одной из величин, составляющих экстренное торможение, является тормозной путь
Тормозной путь — путь, пройденный автомобилем с начала действия тормозов до его полной остановки.
Величина тормозного пути зависит от многих факторов, а именно:
1. От технического состояния транспортного средства (состояние шин — износ и давление воздуха в них, состояние тормозной системы).
2. От массы автомобиля (при увеличении массы — длиннее тормозной путь).
3. От скорости движения
4. От качества дорожного покрытия
5.От состояния дороги (при сухом, влажном, укатанном снегом покрытии или в гололед — разный коэффициент сцепления колес автомобиля с дорогой).
6. От наличия на дороге выбоин, неровностей, волнистости и т. п.
Существует несколько формул расчета тормозного пути автомобиля.
В своей работе мы воспользовались универсальной формулой расчета тормозного пути автомобиля, в которой используются фиксированные коэффициенты.
где S — тормозной путь в метрах,
кэ — тормозной коэффициент,
V0 — скорость в км/ч в начале торможения,
Фc — коэффициент сцепления с дорогой.
Коэффициент сцепления с дорогой зависит от погодных условий (чем хуже дорога, тем ниже будет коэффициент) и составляет:
0,7 – для сухой дороги,
0,4 – для мокрой дороги,
0,2 – для заснеженной дороги,
0,1 – для обледенелого асфальта.
Коэффициент торможения для легковых автомобилей составляет 1 и увеличивается пропорционально габаритам транспортного средства. Так, для грузового автомобиля этот коэффициент будет равен максимальному значению – 1,2.
Мы рассчитали тормозной путь для легкового автомобиля ВАЗ-2110 и грузового автомобиля ГАЗ-3302, используя данную формулу в зависимости от коэффициентов сцепления с дорогой при начальной скорости в начале торможения 60 км/ч. Результаты расчетов представлены в таблице 1.
| Марка автомобиля | Коэффициент сцепления с дорогой | |||
| 0,7 | 0,4 | 0,2 | 0,1 | |
| ВАЗ-2110 | 20 | 35 | 71 | 142 |
| ГАЗ-3302 | 24 | 43 | 85 | 170 |
Мы сравнили полученные нами результаты с требованиями ПДД при выбранной нами начальной скорости торможения для сухой, мокрой и заснеженной дороги (таблица 2).
| Марка автомобиля | Коэффициент сцепления с дорогой | ||
| 0,7 | 0,4 | 0,2 | |
| Легковые автомобили | 23 | 35 | 69 |
| Грузовые автомобили | 19,6 | 40 | 82 |
Пользуясь универсальной формулой для расчета тормозного пути АТС мы не учитывали, такие важные факторы, как точную массу транспортного средства, износ шин и тормозной системы автомобиля, поэтому получившийся результат имеет погрешность до нескольких метров.
В заключении рекомендуем водителям для своевременной остановки придерживаться следующих правил:
1. Скорость движения должна выбираться таким образом, чтобы всегда сохранялась возможность остановиться перед неожиданным препятствием.
2. Дистанция до впереди идущего автомобиля должна позволять остановиться в случае экстренного торможения «лидера». Необходимо обращать внимание на то, какой автомобиль впереди: чем новее модель автомобиля, тем короче у него может быть тормозной путь.
3. Регулярно необходимо осматривать тормозную систему (толщину колодок, состояние шлангов) и своевременно устранять любые неисправности (увеличение тормозного пути, увод в сторону при торможении и т. д.).
4. Нельзя отвлекаться от управления автомобилем, говорить по мобильному телефону и т. д.
Каков тормозной путь на скорости 50, 80 и 110 км/час.
Как видно, из-за множества переменных невозможно создать четкую таблицу, описывающую точный тормозной путь отдельного автомобиля. На это влияют и техническое состояние автомобиля, и качество дорожного покрытия.

Средние данные тормозного пути легкового автомобиля при исправной системе, качественных покрышках и нормальной реакции водителя:
| Скорость, км/ч. | Приблизительный тормозной путь, м. |
| 50 | 28 (или шесть корпусов авто) |
| 80 | 53 (или 13 корпусов авто) |
| 110 | 96 (или 24 корпуса) |
Следующая условная ситуация показывает, почему важно придерживаться скоростного режима и не полагаться на «идеальные» тормоза. Чтобы остановиться перед пешеходным переходом со скорости в 50 км/ч до нуля автомобилю потребуется расстояние почти в 30 метров. Если водитель нарушит скоростной режим и будет двигаться со скоростью в 80 км/ч, то при реакции на расстоянии в 30 метров до перехода, авто собьет пешехода. При этом скорость авто будет около 60 км/ч.
Как видно, никогда не следует рассчитывать на надежность своей машины, а правильно будет придерживаться рекомендаций, потому что они взяты из реальных ситуаций.
Правила торможения
В случае торможения необходимо вжать на педаль в пол и дожимать до полной остановки или уменьшения скорости. Если плавно действовать на педаль, система АБС может не сработать. Это правило применимо для автоматической коробки передач. При оснащении механической коробкой рекомендуется нажать на педаль сцепления, что повысит эффективность торможения.
Ездить на машине с АВS безопаснее. Но нельзя полагаться только на технические возможности авто. За рулем надо быть внимательным, соблюдать правила дорожного движения. Это окупится радостью от безаварийной езды.
От чего зависит средний тормозной путь любого автомобиля
Подытоживая, видим, что тормозной путь любого автомобиля зависит от совокупности таких факторов:
- скорость транспортного средства;
- вес машины;
- исправность тормозных механизмов;
- коэффициент сцепления покрышек;
- качество дорожного покрытия.
На остановочный путь автомобиля влияет еще и реакция водителя.
Учитывая, что в экстренной ситуации мозгу водителя нужно обработать много информации, придерживаться скоростного режима – это самая первая заповедь, о важности которой никогда не перестанут говорить.
4 / 5 ( 1 голос )
Источник http://studizba.com/lectures/129-inzhenerija/1815-avtomobili/35544-12-tormoznye-svojstva-avtomobilja.html
Источник http://ravon82.ru/vozhdenie/ot-chego-zavisit-tormoznoj-put.html